|
Recently I discussed my ‘Plan B’ idea, which involves providing a cheap alternative to expensive drugs for folks living in the developing world with Parkinson’s (Click here for that post). While doing some research for that particular post, I came across another really interesting bit of science that is being funded by Parkinson’s UK. It involves Beetroot. In today’s post we will look at how scientists are attempting turn this red root vegetable into a white root vegetable in an effort to solve Parkinson’s in the developing world. |
Pompeii and Mount Vesuvius. Source: NationalGeo
During visits to the ancient Roman city of Pompeii (in Italy), tourists are often drawn by their innocent curiosity to the ‘red light’ district of the city. And while they are there, they are usually amused by the ‘descriptive’ murals that still line the walls of the buildings in that quarter.
So amused in fact that they often miss the beetroots.
Huh? Beetroots?
Yes, beetroots.
I’m not suggesting that anyone spends a great deal of time making a close inspection of the walls, but if you look very carefully, you will often see renditions of beetroots.
They are everywhere. For example:
Two beetroots hanging from the ceiling.
Again: Huh?
The Romans considered beetroot to be quite the aphrodisiac, believing that the juice ‘promoted amorous feelings’. They also ate the red roots for medicinal purposes, consuming it as a laxative or to cure fever.
And this medicinal angle lets me segway nicely into the actual topic of today’s post. You see, in the modern era researcher are hoping to use beetroot for medicinal purposes again. But this time, the beetroot will be used to solve an issue close to my heart: treating people with Parkinson’s in the developing world.
Using beetroot to treat Parkinson’s?
This is Dr Noam Chayut:
He’s a dude. He is a research scientist working with Prof Cathie Martin at the John Innes Centre (JIC).
Prof Cathie Martin of JIC. Source: JIC
JIC is a world-leading, independent research centre for plant science based just west of the city of Norwich (in Norfolk, UK). In Prof Martin’s lab, Noam is working on a very interesting project which is being funded by Parkinson’s UK.
Noam’s research is focused on turning beetroot into a treatment for Parkinson’s. Specifically, he is growing beetroot that can produce high levels of L-DOPA.
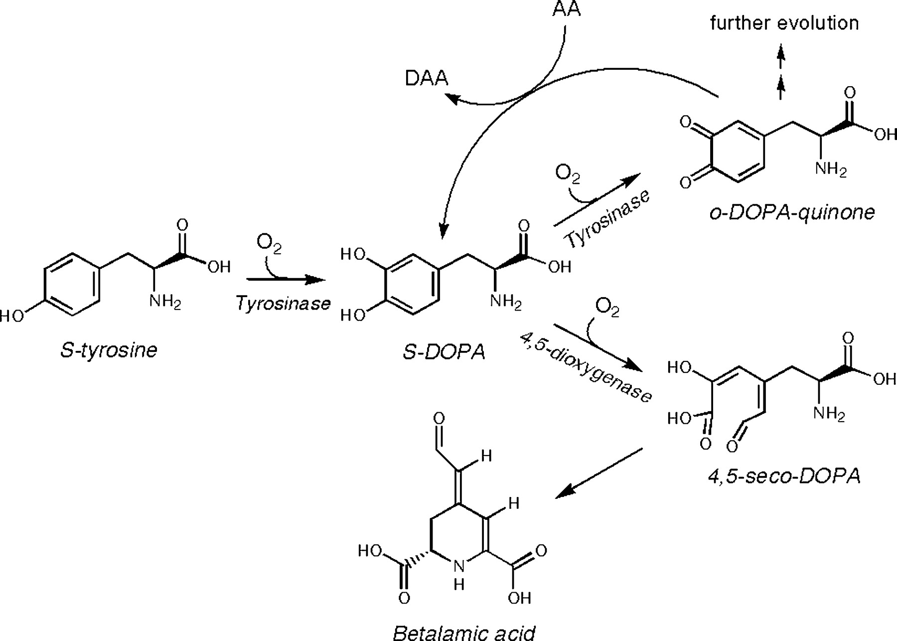
L-DOPA, of course, is one of the main treatments that are used for treating Parkinson’s disease. But it also occurs naturally in beetroot. This is due to a chemical reaction (tyrosine hydroxylation) that also occurs in the production of dopamine. But rather than being turned into dopamine, L-DOPA in beetroot is an intermediate in the production of the violet and yellow pigments.
The pathway of L-dopa in beetroot. Source: plantphysiol
Recently I had a conversation with Noam regarding his research:
Me: How did you come to be studying beetroot in Norwich?
Noam: I am interested in the interface between plant metabolism and applied plant breeding. After finishing my PhD in Israel, studying the genetic regulation of melon fruit flesh colour (focused on pro-vitamin A content) I was looking for a leading scientific institute to continue and develop my scientific skills. I first met Prof Cathie Martin at a conference where she described possible health benefits of her scientific achievements to modern society. I greatly appreciated her vision and wished to join her group in the JIC. Cathie had an idea to produce L-Dopa in beetroot which perfectly matched my interests and expertise, and in September 2016 I moved with my family to Norwich to start working on our current project.
Beetroot. Source: Healthline
Me: What exactly are you trying to do?
Noam: L-DOPA is the active compound in the only known medicine that alleviates Parkinson’s disease symptoms. Although in our economic terms L-Dopa is an inexpensive compound, it is inaccessible for many in deprived population worldwide. According to the WHO, in Africa; less than 12% of Parkinson’s disease sufferers have access to the drug. It is predicted that due to the blessed longer life expectancy in Africa, untreated elderly related chronic diseases such as Parkinson’s will increase. We aim to develop strains of beetroot that will accumulate high levels of L-DOPA and can be grown in Africa to provide an anti-Parkinson’s treatment. By shifting from a high-tech chemical production to a low-tech agricultural production of a pharmaceutical product we hope to increase accessibility and as well as to support local farmers.
Growing beetroot in Uganda. Source: Shuttlestock
Me: Do you know what L-DOPA is actually doing in beetroot? Could this normal function change with higher levels of L-DOPA?
Noam: In plant metabolism, many substances are produced and degraded in a similar rate. These compounds do not accumulate but rather maintain a low steady-state level in the plant organ. In many cases these molecules are the building blocks of other substances that the plant accumulates for numerous different purposes. L-DOPA is such a compound. It is found in beetroot in very low levels; constantly produced to be turned over into betalain, the pigment molecule that gives rise to the beet distinct colour. By metabolic engineering and classic genetic approaches, we intend to inhibit the turnover of L-DOPA into betalains and thus produce a beet that instead of accumulating purple betalains would accumulate L-DOPA. As betalains are secondary metabolite, we do not expect their absence to harm the plant (sugar beet for example do not accumulate betalains and can be grown well under agricultural practice). We still can’t be certain how the anticipated very high levels of L-DOPA would affect the plant well-being.
Me: Can this overall approach of increasing L-DOPA levels be applied to other plants (with violet and yellow betalain pigments) ? Have you considered any alternatives?
Noam: Yes. We could probably apply this method for other betalain producing plants of the Caryophyllales order. However, the advantages of table beet are so many that we did not consider including other plants in our project:
- It is a food crop and has extensive agronomical knowledge (including in east Africa)
- It accumulates relatively high levels of betalains in the tuber which theoretically may be converted to high amount of L-DOPA.
- It is food and known to be safe to consume, thus final product regulations may be less complicated.
- The genome of its close relative, the sugar beet (the same species) is publicly available making our endeavour a lot easier.
- There are some biotechnological protocols which were optimised for beetroot as it is used to produce food colorant.
Increasing levels of L-DOPA in beetroots. Source: Openplant
Noam is using genetic engineering to achieve the goal of raising L-DOPA levels in beetroot. He plans to switch off the genes involved in the enzymatic steps that convert L-DOPA into next chemical in the pigmentation process. This should result in a white beetroot.
And there are several ways of achieving this – firstly, classical genetics: Yellow (or Golden) beets exist. They already have a genetic mutation which results in less pigment being produced, and they can be crossed with other beets with reduced pigmentation (such as “blotchy” red beet). Noam can assess how each of these crossing do with regards to L-DOPA content.
Red beets (left) and Yellow beets. Source: lopezislandkitchengardens
He is also investigating the disruption of L-DOPA-dioxygenase activity. This will involve with both the targeted DNA editing technology (CRISPR/Cas9) and classical random mutagenesis approaches. This work is going to produce a lot of different types of beet, and it will simply be a process of analysing each of them for L-DOPA content.
Sounds interesting. Will it work?
We shall see. Theoretically it should.
But there will be several non-research related issues to deal with along the way. For example, numerous countries have restrictions placed on growing genetically-modified (or GM) plants. This is the reason why Noam will also be using classical non-GM techniques to breed white beetroot.
For countries without these restrictions, Noam is using the targeted DNA editing approach to see how high levels of L-DOPA can be pushed. It will be interesting to see how high those levels can go before there could be consequences (if any).
I am genuinely curious to see how this project works out.
What does it all mean?
So, summing up: Researchers in Norfolk (UK) are attempting to block the coloration process of beetroot development in an effort to increase the levels of L-DOPA in the vegetables. Since L-DOPA is a critical part of the pigmentation process, by disrupting the subsequent enzymatic steps there should be a build up of L-DOPA. The goal of this research is to be able to provide the developing world with a cheap, renewable source of L-DOPA to treat a growing population of people affected by Parkinson’s disease.
A worthy project. Serious competition for my plan B, but it is still an effort that I am happy to highlight, and I wish Noam and the team all the best with their endeavour.
The banner for today’s post was sourced from FreshMart











Cool. I appreciate your world consciousness.
LikeLike
This is awesome. As someone diagnosed with Parkinson’s at 54, this gives me hope. I already consume beets but didn’t really know that it has L-Dopa. Looking forward to the genetically modified version.
LikeLike
Would golden beets naturally have more L-Dopa even before being modified?
LikeLike