|
# # # # Being tall is considered desirable in many cultures. Recent research suggests that height may be associated with an increased risk of developing Parkinson’s. In today’s post, we will review this new research and try to understand what it could mean. # # # # |
Wadlow (back row on the left). Source: Telegraph
Robert Pershing Wadlow was always in the back row of school photos.
Born February 22nd 1918, Wadlow’s birth certificate indicated that he was “normal height and weight“, but from that point onwards, there was nothing normal about his rate of growth.
By the time, Robert was 8 years old, he was taller than his father (he was 6 foot/183cm). And eight years later when he turned 16, Robert was 8 foot 1 (2.47 m)… and he was still growing.
Here is a picture of him with his family at 19 years of age:
Source: Businessinsider
Robert was the tallest person in recorded history, and at the time of his death – at the tragically young age of 22 – Robert was almost 9 feet tall (8 ft 11; 2.72 m)… and still growing! (due to hyperplasia)
While not quite reaching the same lofty heights as Robert, I can sort of relate to his situation. You see, in addition to being freakishly good looking, I’m also on the tall side side of things.
On a good day, I am 6 foot 8 (207cm), but often 6 foot 7 around bed time (gravity is a drag!).
Whoa, that’s tall. But what does any of this have to do with Parkinson’s?
Well, recently there has been some research published which suggests that height could be an influencing factor for PD.
Wait. What?!?
Very recently this report was published:
Title: Height and nigral neuron density in Parkinson’s disease.
Authors: Saari L, Backman EA, Wahlsten P, Gardberg M, Kaasinen V.
Journal: BMC Neurol. 2022 Jul 11;22(1):254.
PMID: 35820861 (This report is OPEN ACCESS if you would like to read it)
In this study, the researchers collected body measurements (from autopsies or patient records) for 19 unaffected (control) individuals and 36 individuals who had been diagnosed with “Lewy body” diseases.
What are “Lewy body” diseases?
Lewy bodies are dense circular clusters of alpha synuclein protein (and other proteins) that are found in specific regions of the brain in people with Parkinson’s (Click here for more on Lewy bodies).
Lewy bodies are one of the cardinal features of the Parkinsonian brain – they are used to help make postmortem diagnoses.
A Lewy body indicated within the cell body. Source: Alzheimer’s news
Lewy bodies are not specific to Parkinson’s though. For example, they also appear in the brains of people with Lewy body dementia and multiple systems atrophy. Collectively, these conditions can be referred to as “synucleinopathies” or Lewy body diseases.
In this new study, of the 36 cases of Lewy body diseases in the current study, 22 were confirmed as Parkinson’s. The investigators also categorised the Lewy body diseases cases into three clinical groups: “Parkinsonism predominant” (n = 13), “dementia” (n = 11), and “mixed” (n = 12). They next compared body measurements from these postmortem cases to the number of dopamine neurons in an area of the brain called the substantia nigra.
Why dopamine neurons? And what is the substantia nigra?
Dopamine is a chemical that the brain uses to help pass messages/signals between cells (also known as a neurotransmitter):

Dopamine being released by one cell and binding to another. Source: Truelibido
The bulk of the dopamine generated by your brain is produced by a population of dopamine producing neurons in a region of the midbrain called the substantia nigra.
The loss of these dopamine neurons is one of the cardinal features of the Parkinsonian brain. The substantia nigra (or ‘substance dark’) region is visible (with the human eye) on postmortem sections of brain due to the production of a molecule called neuromelanin in the dopamine neurons. And as you can see in the image below, the Parkinsonian brain has less dark pigmented cells in the substantia nigra region of the midbrain.
The dark pigmented dopamine neurons in the substantia nigra are reduced in the Parkinsonian brain (right). Source:Memorangapp
The loss of dopamine in the brain is associated with the appearance of the motor features of Parkinson’s. By the time an individual is diagnosed with the condition, they have lost approximately 40-60% of the dopamine neurons in the substantia nigra region.
Got it. So the researchers compared body measurements to the number of dopamine neurons. What did they find?
Well, within the Lewy body disease group, there were no significant correlations between the density of dopamine neuron in the substantia nigra and the body weight, brain weight, age, level of dopaminergic medication being used, or the stage of disease of each individual involved in the study. In addition, there were no sex differences observed.
But, the investigators did notice a clear association between the density of dopamine neurons and height, which they did not observe in the control cases. As you can see in the graph below, the 36 open circles represent each case of Lewy body disease, showing the individual’s height and the density of dopamine neurons in their substantia nigra:
Source: PMC
You can hopefully see that there is a upward gradient pattern (the solid line through the middle) in the placement of the circles. This pattern was specific to height and not seen in the group of control cases. In the graph above you can also see two of the empty circles are highlighted with the letters G and H attached to them. Images of the substantia nigra from both of these cases were provided in the report and are shown below:
Source: PMC
The dopamine neurons of the substantia nigra are stained brown, and while the images are presented upside down, you will hopefully be able to see that G (who was shorter in height) has less densely packed brown staining compared to H (who was taller).
How curious. Is this the first time this association has been reported?
No.
But a previous research report has reported that a “shorter young adulthood” height was associated with an increases risk of developing Parkinson’s decades later:
Title: Height as a potential indicator of early life events predicting Parkinson’s disease: a case-control study.
Authors: Ragonese P, D’Amelio M, Callari G, Aiello F, Morgante L, Savettieri G.
Journal: Mov Disord. 2007 Nov 15;22(15):2263-7.
PMID: 17853482
In this study, the researchers collected data for 266 people affected by idiopathic Parkinson’s (this is the spontaneous form of the condition). And this dataset was matched by age and sex to data from 266 unaffected control cases (from a random selection from the local region). The results of this study indicated that the average height was significantly lower in the individuals affected by Parkinson’s (compared to control group; P = 0.03). And interestingly, this difference was only significant in males (P = 0.001).
How can this association between height and PD be explained?
The honest answer is:
There are lots of possible ideas – such as could the association reflect the interaction between dopamine neurotransmission and growth hormone secretion during development? Could it be that an early life insult of some kind leaves an individual with less dopamine neurons and this increases vulnerability to a later life onset of Parkinson’s?
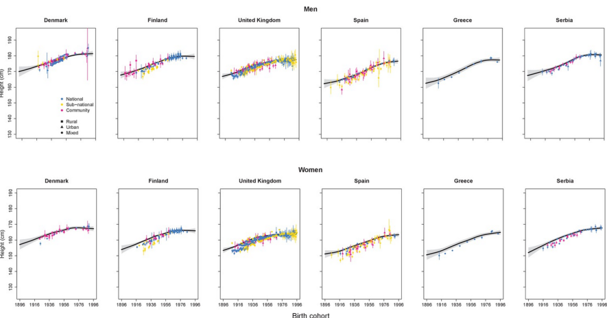
But given that there is a trend in Western societies for taller populations, does this mean that Parkinson’s should be reducing in frequency (rather than increasing)?
Longitudinal change in height across European nations. Source: Elife
I would be interested to see an investigation of average height in some of the large longitudinal studies, like the Michael J Fox Foundation supported Parkinson’s Progression Marker Initiative (PPMI).
If the height association is also present in such large studies, then a better understanding of the biology behind it would be required.
So what does it all mean?
The scars on the top of my head will tell you that being tall doesn’t always have its benefits.
But new research has found that lower height is associated with less density of dopamine neurons in an area of the brain that is badly affected in Parkinson’s. The observation was only observed in people with Lewy body disease, so whether it reflects a developmental difference or an increased vulnerability in shorter individuals still needs to be determined.
It is rather intriguing that this new finding provides support for previous research finding a shorter average height in a Parkinson’s cohort, particularly among men.
Anyways, I thought this was an interesting observation and figured that I would share it here.
All of the material on this website is licensed under a
Creative Commons Attribution 4.0 International License
You can do whatever you like with it!
The banner for today’s post was sourced from wordingvibes



Interesting association. I wonder if having more dopamine neurons to begin with could be protective because you have that much more you can lose before motor symptoms appear?
A minor comment on presentation: At the start of the article you say that “height may be associated with an increased risk of developing Parkinson’s.” I understand that you mean that the *parameter* of height and the risk of Parkinson’s may be associated. But given that *greater* height is associated with a *decreased* risk of developing PD, it might be clearer to say that “height may be associated with a decreased risk of developing Parkinson’s.” Otherwise, for the less formal among us, it could create the expectation that height and risk are *positively* associated.
LikeLike